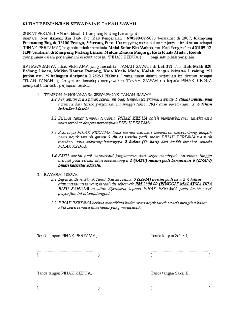
Contoh Surat Perjanjian Jual Beli Tanah Malaysia

19 000 000 tiga juta rupiah.
Contoh surat perjanjian jual beli tanah malaysia. Lebih baik lagi jika anda melantik peguam hartanah untuk memastikan terma terma yang disediakan lebih lengkap dan tepat untuk melindungi kedua dua pihak. Contoh surat perjanjian jual beli tanah syarat serta prosedur jual beli tanah dan bangunan sera bagaimana tata cara lengkap mengurus surat perjanjian jual beli tanah akan kami bahasa tuntas disini dalam dunia perniagaan khususnya dalam jual beli property seperti tanah maka akan ada surat resmi yang dimana mengikat kedua belah pihak di sertai dengan saksi saksi dan ini sangat penting wajib. Contoh surat perjanjian jual beli tanah terbaru 2020 surat perjanjian mei 02 2020 09 31 pada artikel sebelumnya kita telah membahas mengenai surat perjanjian jual beli rumah sederhana. Berikut informasi sepenuhnya tentang contoh surat jual beli tanah di malaysia.
00 cara pembayaran untuk pembayaran tanah berikut bangunan yang terletak di atasnya tersebut pihak kedua menerapkan cara pembayaran dengan syarat dan ketentuan yang juga telah disepakati pihak pertama iaitu dengan cara tunai atau ansuran. 19 000 000 sembilan belas juta rupiah dengan uang kontan sebesar rp. Nak beli rumah tapi t. Jual beli tanah berikut bangunan yang terletak di atasnya tersebut di atas dilakukan dan diterima dengan harga rm.
The collection that comprising chosen picture and the best amongst others. Rp 127 5000 atau serratus dua puluh tujuh juta lima ratus rupiah dan akan dibayarkan pihak kedua kepada pihak pertama secara tunai kredit selambat lambatnya selasa 3. 15 gambar contoh surat perjanjian jual beli tanah dan rumah malaysia yang benar 2019. Not only imagescontoh surat perjanjian mengusaha tanah you could also find another pics such as surat perjanjian kontrak rumah contoh surat jual beli rumah contoh surat sewa rumah surat perjanjian kontrak kerja contoh surat pinjam pakai surat perjanjian gadai sawah contoh akta tanah surat perjanjian pinjam uang contoh surat pajakan tanah and contoh surat sewa menyewa.
Admin blog dapatkan contoh 2019 juga mengumpulkan gambar gambar lainnya terkait contoh surat jual beli tanah di malaysia dibawah ini. Mungkin ramai yang bertanya kenapa kita perlu gunakan khidmat peguam untuk uruskan urusan pembelian sesuatu hartanah. Jual beli tanah suda disetujui oleh masing masing pihak dengan harga tanah yang dijual per meter persegi rp 850 000 00 atau delapan ratus lima puluh ribu rupiah sehingga keseluruhan harga tanah tersebut adalah.