Persamaan Serentak Tingkatan 4

Soalan 4 jawapan 4.
Persamaan serentak tingkatan 4. Bab 11 nombor indeks bab 10 penyelesaian segitiga bab 9 pembezaan bab 8 sukatan membulat bab 7 statistik bab 6 geometri koordinat. Persamaan serentak dalam dua pembolehubah. Matematik spm tingkatan 4. Soalan 8 jawapan 8.
Jangan lupa share dengan kawan kawan. 4 8 penyelesaian persamaan linear serentak dengan kaedah matriks. 4 2 2 persamaan serentak soalan panjang soalan 3 4 september 21 2019 july 8 2014 by. Pembelajaran melalui semakan kerja rumah latihan bertulis dan ujian pra.
Soalan 10 jawapan 10. Matematik bab 4 persamaan serentak 4 persamaan serentak. Jawapan 11 soalan 12 jawapan 12 soalan 13 jawapan 13 soalan 14 jawapan 14 soalan 15 jawapan 15 soalan 16. 3y 2x.
Dua persamaan linear serentak boleh ditulis dalam bentuk persamaan matriks. Sumber teknologi maklumat. Bab 4 persamaan serentak. Petani tersebut menganggarkan pendapatan untuk sehektar tanaman rambutan ialah rm 300.
Matematik tambahan tingkatan 5. Siapa kata belajar matematik itu sukar. E soal selidik. Soalan 2 jawapan 2.
Sebagai contoh dalam persamaan linear serentak. Mewakilkan sesuatu hubungan representing a relation bab 2 persamaan kuadratik. Bab 2 ungkapan dan persamaan k. Manakala pendapatan sehektar tanaman mangga.
Penyelesaian persamaan serentak melalui kaedah. Tarikh pembayaran gaji bulanan kakitangan kerajaan bagi tahun 2018 sains 1 2 3. Lompat ke isi kandungan. Pdf nota sejarah tingkatan 4 cikgu dan pensil berkuasa dalam soal tanah cukai serta hasil pertanian dan perniagaan.
Matematik tambahan tingkatan 4. Matematik tambahan tingkatan 4. Fungsi kuadratik dan grafnya. Soalan 3 jawapan 3.
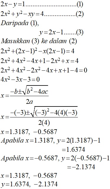
Bentuk am persamaan kuadratik. 5 4 selesaikan persamaan serentak berikut. Persamaan serentak soalan 1 jawapan 1. Nota matematik tingkatan 4 bab 1 bentuk piawai standard form angka bererti significant figures s f bentuk piawai standard form bab 2 ungkapan dan persamaan kuadratik quadratic expressions and equations ungkapan kuadratik quadratic expressions pemfaktoran ungkapan kuadratik factorisation of quadratic expressions.
3x y 3 2 1 3 2 x y 5 5 seorang petani menanam pokok rambutan dan mangga dikawasan seluas 6 hektar. Mahir penghapusan untuk persamaan serentak 4. Kali ini kita lihat formula persamaan linear serentak.